40  Regression

Author

Jarad Niemi

R Code Button

library("tidyverse"); theme_set(theme_bw())
── Attaching core tidyverse packages ──────────────────────── tidyverse 2.0.0 ──
✔ dplyr     1.1.4.9000     ✔ readr     2.1.5     
✔ forcats   1.0.0          ✔ stringr   1.5.1     
✔ ggplot2   3.5.1          ✔ tibble    3.2.1     
✔ lubridate 1.9.3          ✔ tidyr     1.3.1     
✔ purrr     1.0.2          
── Conflicts ────────────────────────────────────────── tidyverse_conflicts() ──
✖ dplyr::filter() masks stats::filter()
✖ dplyr::lag()    masks stats::lag()
ℹ Use the conflicted package (<http://conflicted.r-lib.org/>) to force all conflicts to become errors
library("Sleuth3")
library("ggResidpanel")

A linear regression model is commonly used when you have a continuous response variable and explanatory variables that are continuous or categorical. The goal of this slide is to introduce the use of the predict() function and then use this function to understand 1) different regression models and 2) what geom_smooth(method = "lm") is doing.

40.1 Model

The general structure of a regression model is \[ Y_i \stackrel{ind}{\sim} N(\beta_0 + \beta_1X_{i,1} + \cdots + \beta_{p} X_{i,p}, \sigma^2) \] for \(i=1,\ldots,n\) or, equivalently, \[ Y_i = \beta_0 + \beta_1X_{i,1} + \cdots + \beta_{p} X_{i,p} + \epsilon_i, \qquad \epsilon_i \stackrel{ind}{\sim} N(0, \sigma^2). \]

where, for observation \(i\),

  • \(Y_i\) is the value of the response variable,
  • \(X_{i,j}\) is the value of the \(j\)th explanatory variable, and
  • \(\epsilon_i\) is the error.

The assumptions in every regression model are

  • errors are independent,
  • errors are normally distributed,
  • errors have constant variance,

and

  • the expected response, \(E[Y_i]\), depends on the explanatory variables according to a linear function (of the parameters).

40.1.1 Estimation

# Fit regression model
m <- lm(Depth ~ Year, 
        data = case0201)

summary(m)

Call:
lm(formula = Depth ~ Year, data = case0201)

Residuals:
    Min      1Q  Median      3Q     Max 
-3.2697 -0.5382  0.1618  0.6303  2.2303 

Coefficients:
              Estimate Std. Error t value Pr(>|t|)    
(Intercept) -651.04719  144.18752  -4.515 1.15e-05 ***
Year           0.33427    0.07293   4.583 8.65e-06 ***
---
Signif. codes:  0 '***' 0.001 '**' 0.01 '*' 0.05 '.' 0.1 ' ' 1

Residual standard error: 0.973 on 176 degrees of freedom
Multiple R-squared:  0.1066,    Adjusted R-squared:  0.1016 
F-statistic: 21.01 on 1 and 176 DF,  p-value: 8.65e-06

40.1.2 Predictions

To obtain predicted values, use the predict() function. Often, we will construct a new data.frame that contains specific values of our explanatory variables that we want to create predictions for.

# Create data.frame containing
# only unique values of Year
nd <- case0201 |>
  select(Year) |>
  unique()

# Add predictions
p <- nd |>
  mutate(Depth = predict(m, 
                     newdata = nd))

p
   Year     Depth
1  1976  9.469663
90 1978 10.138202

The predict() function can also be used to construct confidence intervals for any values of the explanatory variables. These confidence intervals describe variability in the mean response.

# Add predictions with confidence intervals
ci <- bind_cols(
  nd,
  predict(m, 
          newdata = nd,
          interval = "confidence") |>
    as.data.frame()
)

ci
   Year       fit      lwr       upr
1  1976  9.469663 9.266108  9.673217
90 1978 10.138202 9.934648 10.341757

The prediction function can also produce prediction intervals. These prediction intervals will contain a certain percentage of the data (on average).

# Add predictions with prediction intervals
pi <- bind_cols(
  nd,
  predict(m, 
          newdata = nd,
          interval = "prediction") |>
    as.data.frame()
)

pi
   Year       fit      lwr      upr
1  1976  9.469663 7.538576 11.40075
90 1978 10.138202 8.207115 12.06929

Confidence intervals and prediction intervals are often vastly different with the prediction intervals being much wider than confidence intervals. Thus, it is important to understand the difference.

# Interval comparison
ggplot(
  bind_rows(
    ci |> mutate(Interval = "Confidence"),
    pi |> mutate(Interval = "Prediction")),
  aes(
    x     = Year,
    y     = fit,
    ymin  = lwr,
    ymax  = upr,
    color = Interval
  )
) +
  geom_pointrange(
    position = position_dodge(width = .1)
  ) +
  labs(
    y = "Depth"
  ) +
  scale_x_continuous(breaks = nd$Year)

# geom_smooth()
ggplot(case0201,
       aes(
         x = Year,
         y = Depth
       )) +
  geom_jitter(width=0.1) + 
  geom_smooth(method = "lm") +
  geom_pointrange(
    data = ci,
    aes(
      y     = fit,
      ymin  = lwr,
      ymax  = upr
    ),
    color = "#F8766D" # match the color used previously
  )
`geom_smooth()` using formula = 'y ~ x'

For the remainder of this discussion, we will focus on confidence intervals.

40.1.3 Continuous explanatory variable

Let’s fit a simple linear regression model using a single continuous explanatory variable. Then, we will predict the response variable using 5 different values of the explanatory variable. At each of these 5 values, we will construct confidence intervals for the mean and compare these intervals to the intervals constructed from
geom_smooth(method = "lm").

# Continuous example
m <- lm(Velocity ~ Distance, 
        data = case0701)

# Create new data from with 5 prediction points
nd <- data.frame(
  Distance = seq(from   = min(case0701$Distance),
                 to     = max(case0701$Distance),
                 length = 5))

# Create confidence intervals
nd <- case0701 |> 
  select(Distance) |>
  unique()

p <- bind_cols(
  nd, 
  predict(m,
          newdata = nd,
          interval = "confidence") |>
    as.data.frame()) |>
  rename(Velocity = fit)
  
# Plot CIs and geom_smooth()
g <- ggplot(case0701,
       aes(x = Distance,
           y = Velocity)) +
  geom_point() 

g + 
  geom_smooth(method = "lm") +
  geom_pointrange(
    data = p,
    aes(
      ymin = lwr,
      ymax = upr
    ),
    col = "#F8766D"
  )
`geom_smooth()` using formula = 'y ~ x'

As can be seen above, these confidence intervals match geom_smooth(method = "lm") exactly. Thus, geom_smooth(method = "lm") is producing these confidence intervals.

If we want to reproduce the results of geom_smooth(method = "lm"), we can do so using geom_ribbon() and geom_line().

# Construct ribbon plot using confidence intervals
g +
  geom_ribbon(
    data = p,
    aes(
      ymin = lwr,
      ymax = upr
    ),
    fill = "grey",
    alpha = 0.5
  ) +
  geom_line(
    data = p,
    aes(
      y = Velocity
    ),
    color = "#3366FF",
    linewidth = 1.2
  )

This was a lot more work than simply using geom_smooth(method = "lm"), but the following example will show why we were interested in constructing these uncertainty intervals ourselves.

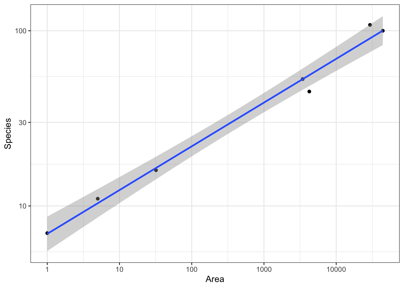
40.1.4 Logarithms

Knowing how to construct these ribbon plots can be helpful when we want to plot data on the original scale (with non-logarithmic axes).

In this example data, the best fit is when both response and explanatory variable have a logarithmic transformation. Using geom_smooth(method = "lm") when both axes are logarithmic will result in a straight line on this log-log scale.

# Log-log axes
g <- ggplot(case0801,
       aes(
         x = Area,
         y = Species
       )) +
  geom_point() 

g +
  geom_smooth(method = "lm") +
  scale_x_log10() +
  scale_y_log10()
`geom_smooth()` using formula = 'y ~ x'

It can be hard to understand the relationship between the response and explanatory variable when both axes (or even one axis) is on a logarithmic scale.

To plot everything on the original scale, we need to construct our own confidence intervals and back transform.

# Fit model
m <- lm(log(Species) ~ log(Area),
        data = case0801)

# Create data set
nd <- case0801 |>
  select(Area)

# Find CIs
p <- bind_cols(
  nd, 
  predict(
    m,
    newdata = nd,
    interval = "confidence") |>
    as.data.frame() |>
    
    # Convert from log(Species)
    mutate(
      # Back transform
      Species = exp(fit),
      lwr     = exp(lwr),
      upr     = exp(upr)
    )
)

# Plot
g +
  geom_ribbon(
    data = p,
    aes(
      ymin = lwr,
      ymax = upr
    ),
    fill = "grey",
    alpha = 0.5
  ) +
  geom_line(
    data = p,
    color = "#3366FF",
    linewidth = 1.2
  )

We can see from this plot on the original axes that the model is clearly non-linear with increasing uncertainty as the Area increases.

The piecewise linear nature of the line (and confidence intervals) is due only using 5 values of Area. If we wanted it to look smoother, we could have used more values for Area.

40.2 Categorical variable

We will now consider a multiple regression model with a single categorical variable that has more than 2 levels.

# Lifetime v Diet in mice
g <- ggplot(
  mapping = aes(
      x = Diet,
      y = Lifetime
    )) +
  geom_jitter(
    data = case0501,
    width = 0.1
  )

g

When we are using a single categorical variable, it doesn’t make any sense to use geom_smooth(method = "lm"). Instead, we will use the predict function to estimate means for each group and a confidence interval for the mean.

# Fit regression model
m <- lm(Lifetime ~ Diet, 
        data = case0501)

# Obtain unique values of Diet
nd <- case0501 |>
  select(Diet) |>
  unique()

# Construct confidence intervals
ci <- bind_cols(
  nd,
  predict(m,
          newdata = nd,
          interval = "confidence") |>
    as.data.frame() |>
    rename(Lifetime = fit)
)

# Add means and CIs to plot
g +
  geom_pointrange(
    data = ci,
    aes(
      ymin = lwr,
      ymax = upr
    ),
    col = "red"
  )

40.3 Two categorical variables

When we have two categorical explanatory variables, we have a choice of a main effects model or a model with an interaction. Briefly, the main effects model indicates that the effect of one explanatory variable on the mean response is the same regardless of the value of the other explanatory variable. In contrast, the model with an interaction indicates that the effect of one explanatory variable on the mean response depends on the value of the other explanatory variable.

# Exploratory plot
g <- ggplot(warpbreaks,
            aes(
              x     = tension,
              y     = breaks,
              color = wool,
              shape = wool
            )) +
  geom_point(
    position = position_jitterdodge(
    dodge.width = 0.2,
    jitter.width = 0.1)
  )

g 

40.3.1 Main effects

Construct confidence intervals for every combination of explanatory variable values.

# Fit main effects model
m <- lm(breaks ~ wool + tension, 
        data = warpbreaks)

# Obtain unique values of Diet
nd <- warpbreaks |>
  
  # Include both explanatory variables
  select(wool, tension) |>
  unique()

# Construct confidence intervals
ci <- bind_cols(
  nd,
  predict(m,
          newdata = nd,
          interval = "confidence") |>
    as.data.frame() |>
    rename(breaks = fit)
)

# Plot
gm <- g +
  geom_pointrange(
    data = ci,
    aes(
      ymin = lwr,
      ymax = upr
    ),
    position = position_dodge(width = 0.1)
  )

gm

The distance between the two types of wool for every tension value is the same. This is a feature of a main effects model.

To see this, it can be helpful to add lines to connect the means

gm + 
  geom_line(
    data = ci,
    aes(
      group = wool
    )
  )

Notice how the line segments are parallel. This is a feature of a main effects model with two categorical variables.

40.3.2 Interactions

Now let’s consider a model with an interaction. There are two ways to indicate that this is the model you would like to fit. One way is to include the interaction term directly while the other way is a shorthand

# Fit interaction model
m <- lm(breaks ~ wool + tension + wool:tension, 
        data = warpbreaks)

m <- lm(breaks ~ wool * tension, # shorthand
        data = warpbreaks)

# Construct confidence intervals
ci <- bind_cols(
  nd,
  predict(m,
          newdata = nd,
          interval = "confidence") |>
    as.data.frame() |>
    rename(breaks = fit)
)

# Plot
g +
  geom_pointrange(
    data = ci,
    aes(
      ymin = lwr,
      ymax = upr
    ),
    position = position_dodge(width = 0.1)
  ) + 
  geom_line(
    data = ci,
    aes(
      group = wool
    )
  )

In this plot, notice how the line segments are no longer forced to be parallel. Since the data suggest the lines should not be parallel, we would expect a test for the interaction to be significant.

# Two-way ANOVA
anova(m)
Analysis of Variance Table

Response: breaks
             Df Sum Sq Mean Sq F value    Pr(>F)    
wool          1  450.7  450.67  3.7653 0.0582130 .  
tension       2 2034.3 1017.13  8.4980 0.0006926 ***
wool:tension  2 1002.8  501.39  4.1891 0.0210442 *  
Residuals    48 5745.1  119.69                      
---
Signif. codes:  0 '***' 0.001 '**' 0.01 '*' 0.05 '.' 0.1 ' ' 1

40.4 Categorical and continuous variables

A multiple regression model can include a categorical variable and a continuous variable.

# Fix Time variable
d <- case0901 |>
  mutate(
    Time = ifelse(Time == 1, "Late", "Early")
  )
# Exploratory plot
g <- ggplot(d,
            aes(x     = Intensity,
                y     = Flowers,
                color = Time,
                shape = Time)
       ) +
  geom_point()

g

40.4.1 Main effects

Now we consider a main effets model.

# Fit main effects model
m <- lm(Flowers ~ Time + Intensity,
        data = d)

# Obtain unique values of Diet
nd <- expand.grid(
  Time = unique(d$Time),
  Intensity = range(d$Intensity)
) 

# Construct obtain predictions
p <- nd |>
  mutate(
    Flowers = predict(m, newdata = nd)
  )

# Plot
g +
  geom_line(data = p) 

In a main effects regression model, the lines are parallel.

40.4.2 Interaction

Let us now fit the model with an interaction.

# Fit main effects model
m <- lm(Flowers ~ Time * Intensity,
        data = d)

# Construct confidence intervals
ci <- nd |>
  mutate(
    Flowers = predict(m, newdata = nd)
  )

# Plot
g +
  geom_line(data = ci) 

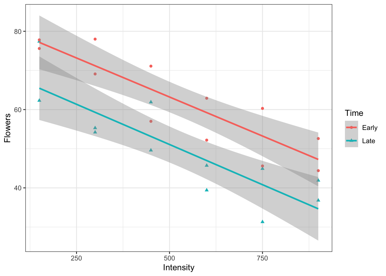
Since these lines are approximately linear, we do not expect the interaction to be significant.

# ANCOVA
anova(m)
Analysis of Variance Table

Response: Flowers
               Df  Sum Sq Mean Sq F value    Pr(>F)    
Time            1  886.95  886.95 20.3742 0.0002119 ***
Intensity       1 2579.75 2579.75 59.2597 2.101e-07 ***
Time:Intensity  1    0.58    0.58  0.0132 0.9095675    
Residuals      20  870.66   43.53                      
---
Signif. codes:  0 '***' 0.001 '**' 0.01 '*' 0.05 '.' 0.1 ' ' 1

Default geom_smooth() assumes interaction model

g +
  geom_smooth(method = "lm")
`geom_smooth()` using formula = 'y ~ x'

With these data, it is not clear that this is an interaction model.

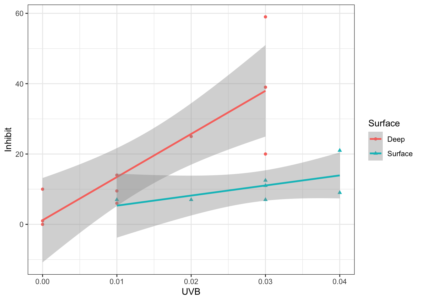
Here is an example where the interaction is clearly necessary.

# Thinning of Ozone
ggplot(ex1026,
       aes(
         x = UVB,
         y = Inhibit,
         color = Surface,
         shape = Surface
       )) +
  geom_point() +
  geom_smooth(method = "lm")
`geom_smooth()` using formula = 'y ~ x'

Since the lines are not parallel, we expect a significant interaction term.

m <- lm(Inhibit ~ UVB*Surface,
        data = ex1026)

anova(m)
Analysis of Variance Table

Response: Inhibit
            Df  Sum Sq Mean Sq F value   Pr(>F)   
UVB          1  750.00  750.00  9.6124 0.008440 **
Surface      1 1306.27 1306.27 16.7420 0.001273 **
UVB:Surface  1  410.39  410.39  5.2597 0.039134 * 
Residuals   13 1014.31   78.02                    
---
Signif. codes:  0 '***' 0.001 '**' 0.01 '*' 0.05 '.' 0.1 ' ' 1

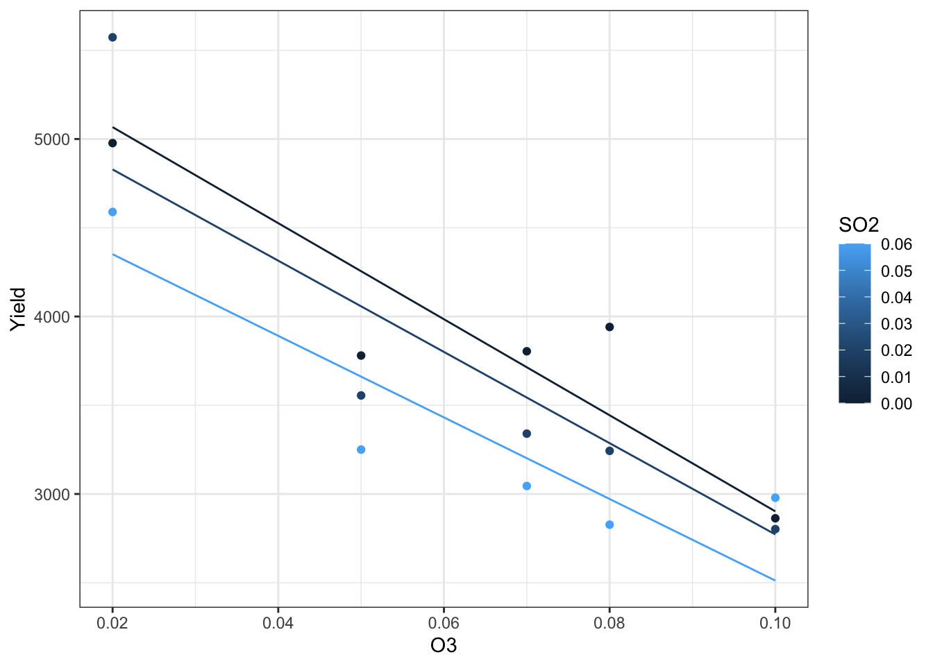
40.5 Two continuous variables

When you have two continuous explanatory variables, it becomes much harder to visualize your data.

# Simplify the analysis to 2 explanatory variables
Forrest_Stressed <- case1402 |>
  filter(Stress == "Stressed") |>
  rename(Yield = Forrest)

# Exploratory plot
g <- ggplot(Forrest_Stressed,
            aes(x        = O3,    # put quantitative variable with more levels on x-axis
                y        = Yield,
                color    = SO2)
       ) +
  geom_point() 

To include lines, we need to use the predict() function and determine values of the continuous variables to use.

# Fit main effects model
m <- lm(Yield ~ SO2 + O3,
        data = Forrest_Stressed)

# Create data frame for prediction
nd <- expand.grid(
  O3  = range( Forrest_Stressed$O3),
  SO2 = unique(Forrest_Stressed$SO2)
)

# Perform predictions
p <- nd |>
  mutate(
    Yield = predict(m,
                    newdata = nd)
  )

# Plot data and lines
g +
  geom_line(
    data = p,
    aes(
      group = SO2
    ))

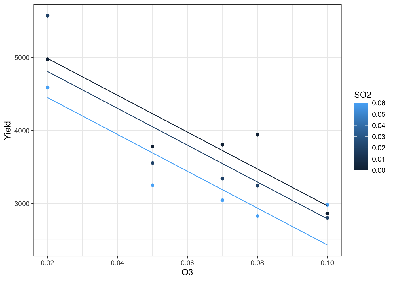
With the main effects regression model, these lines will always be parallel. In the interaction model, they are not required to be parallel.

# Fit model w/ interaction
m <- lm(Yield ~ SO2 * O3,
        data = Forrest_Stressed)

# Create data frame for prediction
nd <- expand.grid(
  O3  = range( Forrest_Stressed$O3),
  SO2 = unique(Forrest_Stressed$SO2)
)

# Perform predictions
p <- nd |>
  mutate(
    Yield = predict(m,
                    newdata = nd)
  )

# Plot data and lines
g +
  geom_line(
    data = p,
    aes(
      group = SO2
    ))

This plot suggests the lines are reasonably parallel and thus we may suspect the interaction will not be significant.

# Test interaction
anova(m)
Analysis of Variance Table

Response: Yield
          Df  Sum Sq Mean Sq F value    Pr(>F)    
SO2        1  746788  746788  4.4853   0.05778 .  
O3         1 7116309 7116309 42.7419 4.205e-05 ***
SO2:O3     1   31967   31967  0.1920   0.66974    
Residuals 11 1831446  166495                      
---
Signif. codes:  0 '***' 0.001 '**' 0.01 '*' 0.05 '.' 0.1 ' ' 1

The large p-value for the interaction term suggests that the interaction term is not necessary to describe these data.

40.6 More than two variables

Regression models can be fit with more than two variables. To visualize what is occurring, you want to utilize a combination of shape/linetype, color, and faceting.

Here is one example with two continuous explanatory variables and two categorical explanatory variables.

# Arrange data
d <- case1402 |>
  pivot_longer(
    Forrest:William,
    names_to = "Cultivar",
    values_to = "Yield"
  ) 

# Use faceting
ggplot(d,
       aes(
         x = O3,
         y = Yield,
         color = SO2
       )) +
  facet_grid(Cultivar~Stress) +
  geom_point() 

Remember to assess model assumptions using diagnostic plots.

m <- lm(Yield ~ O3 + SO2 + Stress + Cultivar, 
        data = d)

resid_panel(m,
            plots    = c("resid", "index", "qq", "cookd"),
            qqbands  = TRUE,
            smoother = TRUE)
`geom_smooth()` using formula = 'y ~ x'
`geom_smooth()` using formula = 'y ~ x'

resid_xpanel(m,
             smoother = TRUE)
`geom_smooth()` using formula = 'y ~ x'
`geom_smooth()` using formula = 'y ~ x'
`geom_smooth()` using formula = 'y ~ x'
`geom_smooth()` using formula = 'y ~ x'

These diagnostics plots do not tell you precisely what you need to do, but they may indicate deviations from current model assumptions. You may need to include interaction terms or perform transformations (e.g. logarithms) to obtain a better model fit.

40.7 Summary

In this discussion, we emphasized the use to plotting to understand regression models and utilized geom_smooth(method = "lm") and predict() to understand model assumptions regarding the mean structure. Please remember to also check model diagnostics for error assumptions and influential observations.